NeuraStar脑机星链

400-803-8903
NeuraStar脑机星链

新闻资讯


News
联系我们

《JAMA》子刊证实:耳部神经调控可长效改善失眠

发表时间:2025/12/05 阅读量:24 来源:NeuraStar脑机星链

经皮耳廓迷走神经刺激(taVNS)是一种非侵入性神经调控技术。它通过电刺激耳甲区迷走神经耳支,将信号传导至脑干孤束核,进而调节蓝斑、下丘脑等睡眠-觉醒核心核团,恢复神经递质平衡与自主神经节律,从而安全有效地改善睡眠质量。


近日,顶级医学期刊《JAMA Network Open》刊登了一项由中国中医科学院团队领衔的临床研究。该研究通过随机对照试验,系统性评估了经皮耳廓迷走神经刺激(taVNS)对慢性失眠障碍(CID)的治疗效果。结果显示,为期8周的taVNS干预不仅能显著缓解失眠症状,且疗效可持续至20周,为临床提供了具有持续获益的非药物疗法新选择。

图片



研究背景


既往研究表明,经皮耳廓迷走神经刺激(taVNS)在改善失眠的同时,亦有助缓解其伴随的焦虑、抑郁情绪,然而这些证据距离临床推广仍存在明显缺口:


1. 治疗时间不够长 

多数早期研究干预周期仅为4周,患者匹兹堡睡眠质量指数(PSQI)改善有限。而电针、认知行为疗法等成熟方案普遍以8周为一个完整疗程。taVNS是否需延长治疗时间以释放疗效,成为关键问题。


2. 安慰剂效应难分辨  

以往假刺激多置于无迷走神经分布的耳甲艇区,导致真、假刺激组PSQI评分差异不显著,无法有效区分真实疗效与安慰剂效应,研究结论的说服力因此受限。


3. 最佳刺激强度未知

电流强度是影响神经调控能量输入的核心参数,但此前研究未系统探索该变量,致使治疗“剂量”不明确,难以确立标准化方案。


为突破以上瓶颈,本研究聚焦8周taVNS治疗,通过优化假刺激设计、明确电流强度参数,系统评估其对慢性失眠的疗效与安全性,旨在为临床提供坚实可靠的应用依据。


研究方法



参与者:

研究采用单中心、双盲、随机对照试验设计,于2021年10月至2022年12月在中国中医科学院针灸医院开展。研究共筛选了166例患者,其中94例因不符合条件被排除,主要原因包括:匹兹堡睡眠质量指数(PSQI)评分未达标(<8分)、无法按要求停用安眠药物或受新冠疫情影响等。最终,72例符合《精神障碍诊断与统计手册》第五版(DSM-5)失眠障碍诊断标准的患者被纳入研究。所有入选患者基线PSQI评分均≥8分,且在入组前至少1个月未使用安眠药物。他们被以1:1的比例完全随机分配至两组:taVNS真刺激组与假刺激组,每组各36例患者。

图片

图1. 参与者招募与流程


干预方案与评估指标

所有受试者均使用同一型号(华佗 SDZ-IIB 型)电针仪及配套硅胶耳夹,在双侧耳甲腔(心穴,CO15)与耳甲艇(肾穴,CO10)进行刺激。治疗频率统一为每日2次、每次30分钟、每周5天,持续8周,并于治疗后继续随访12周。


真、假刺激的唯一区别在于电流强度:

taVNS真刺激组:采用4/20Hz疏密波(4Hz持续5秒与20Hz持续10秒交替),脉宽0.2ms±30%,电流强度根据个人耐受性调整(范围为0.8‑1.5mA)。

taVNS假刺激组:波形、脉宽、刺激部位与真刺激组完全相同,仅将电流强度固定为0.1mA(仪器最小输出,视为“无治疗效应”的微电流)。


疗效评估指标如下:

主要指标:匹兹堡睡眠质量指数(PSQI),用于全面评估睡眠质量。次要指标:失眠严重程度指数(ISI)、汉密尔顿焦虑(HAMA)、汉密尔顿抑郁(HAMD)评分、爱泼沃斯嗜睡量表(ESS)、弗林德斯疲劳量表(FFS),以综合评价整体改善情况。


研究结果



主要疗效结果

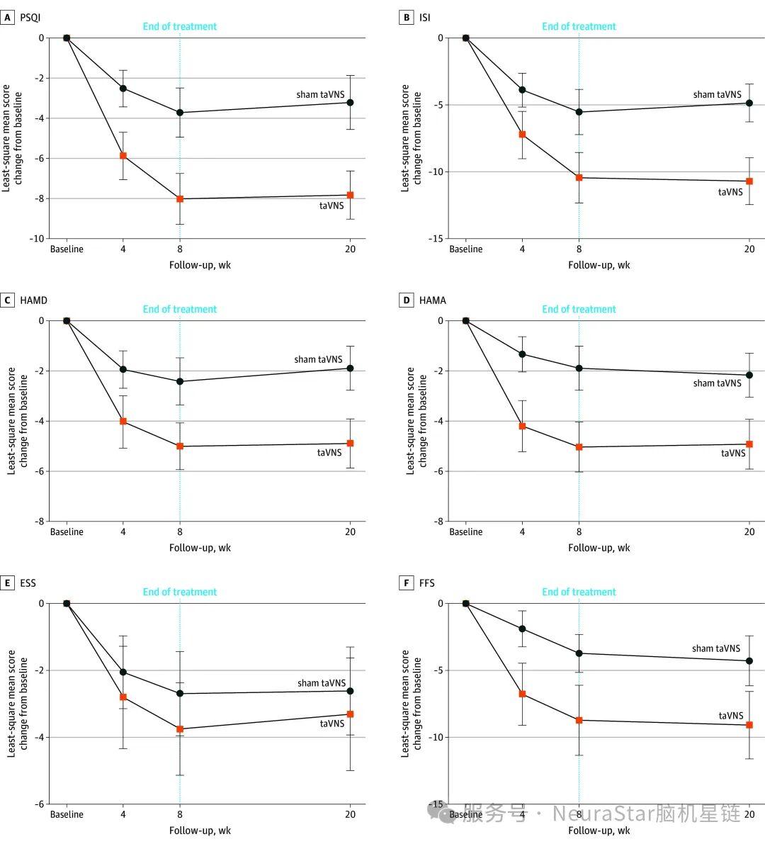
治疗8周后,taVNS组的睡眠质量指数(PSQI)平均下降8.2分(95% CI: −9.3~−7.0),显著优于假刺激组的3.9分(95% CI: −5.1~−2.7)。两组差值达4.2分,超过临床意义阈值(MCID=2.5),且效应量Cohen’s d为1.2,显示强效且具有临床实际意义的改善(图2)。



细分维度改善

在PSQI的7个维度中,taVNS组在主观睡眠质量、入睡潜伏期、睡眠时长、睡眠效率和日间功能障碍共5个维度的改善均显著优于假刺激组,仅在睡眠紊乱与催眠药物使用两个维度上未体现组间差异。



次要指标与情绪改善

taVNS组在失眠严重程度指数(ISI)的4周、8周及20周评分降幅均显著更大。此外,在抑郁情绪(HAMD)、焦虑情绪(HAMA)与疲劳程度(FFS) 方面亦全面优于假刺激组,仅日间嗜睡量表(ESS)评分两组无统计学差异(P>0.05)。



长期疗效与安全性

taVNS的疗效在20周随访时仍保持稳定。不良事件发生率低且组间相近(taVNS组13.9% vs 假刺激组11.1%),主要为外耳轻微夹痛,仅各有1例出现牙龈出血、眩晕,均于停药2-3天内恢复,未发生严重不良事件。


图片

图2. 主要和次要指标时间变化结果


研究结论与展望


研究通过严格的随机对照试验证实,为期8周的经皮耳迷走神经刺激(taVNS)可显著且持续地改善慢性失眠症状,并在提升睡眠质量、缓解焦虑抑郁情绪及减轻疲劳感方面表现出明确临床意义。治疗安全性良好,疗效可持续至20周,为慢性失眠患者提供了一种有效且耐受性良好的非药物干预新选择。


未来仍需开展多中心、大样本的长期研究,以进一步验证taVNS在不同人群中的普适性与稳定性,推动该疗法在临床中的规范应用。



参考文献

[1] Zhang S, Zhao Y, Qin Z, Han Y, He J, Zhao B, Wang L, Duan Y, Huo J, Wang T, Wang Y, Rong P. Transcutaneous Auricular Vagus Nerve Stimulation for Chronic Insomnia Disorder: A Randomized Clinical Trial. JAMA Netw Open. 2024 Dec 2;7(12):e2451217.

doi: 10.1001/jamanetworkopen.2024.51217. 

PMID: 39680406; PMCID: PMC11650411.